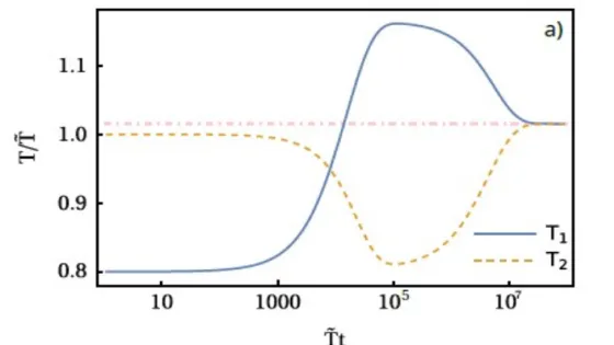
- Российские физики из МФТИ, ИТПЭ РАН и ВНИИА им. Н.Л. Духова теоретически доказали и смоделировали удивительное явление: временное охлаждение самого холодного объекта в сложной квантовой системе без использования внешнего холодильника.
- Этот парадоксальный процесс не нарушает второе начало термодинамики, но бросает вызов нашему интуитивному пониманию тепловых потоков.
- Результаты работы опубликованы в журнале Physical Review A.
- Одно из самых незыблемых правил нашего мира - второе начало термодинамики.
- Однако в квантовом мире, на уровне отдельных атомов и электронов, привычные правила начинают работать иначе.
- Российские ученые решили заглянуть за кулисы этого фундаментального запрета, а также выяснить, какие возможности скрываются в более сложных системах, состоящих из трех и более резервуаров.
